Desenvolvido pelos professores: Rodrigo e Fernando
O aluno deve selecionar a opção correta.
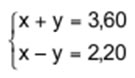
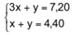
Lucas comprou 3 canetas e 2 lápis pagando R$ 7,20. Danilo comprou 2 canetas e 1 lápis pagando R$ 4,40. O sistema de equações do 1º grau que melhor representa a situação é
(2,0) Observe as figuras: Pedrinho e José fizeram uma aposta para ver quem comia mais pedaços de pizza. Pediram duas pizzas de igual tamanho. Pedrinho dividiu a sua em oito pedaços iguais e comeu seis; José dividiu a sua em doze pedaços iguais e comeu nove. Então,
Pedrinho e José comeram a mesma quantidade de pizza.
José comeu o dobro do que Pedrinho comeu.
Pedrinho comeu o triplo do que José comeu.
José comeu a metade do que Pedrinho comeu.
Distribuímos 120 cadernos entre as 20 crianças da 1ª série de uma escola. O número de cadernos que cada criança recebeu corresponde a que porcentagem do total de cadernos?
5%
10%
15%
20%
Pedro e João jogaram uma partida de bolinhas de gude. No final, João tinha 20 bolinhas, que correspondiam a 8 bolinhas a mais que Pedro. João e Pedro tinham juntos:
28 bolinhas.
32 bolinhas.
40 bolinhas.
48 bolinhas.
Observe as figuras abaixo. Considerando essas figuras,
os ângulos do retângulo e do quadrado são diferentes.
somente o quadrado é um quadrilátero.
o retângulo e o quadrado são quadriláteros.
o retângulo tem todos os lados com a mesma medida.